• 在深度学习中,优化算法是训练模型的关键部分,它们用于更新网络的参数以最小化损失函数
    • 由于优化算法的目标函数通常是基于训练数据集的损失函数,因此优化的目标是减少训练误差

NOTE: 深度学习的最终目标是减小泛化误差,所以在关注优化算法的同时,也要注意过拟合。

  • 深度学习问题绝大部分都是非凸函数,使得优化算法可能陷入这些局部最小值而不是找到全局最小值。
    • 不过在实践中,对于很多深度学习任务,即使找到的是局部最小值,模型的表现也可以是非常好的。

../_images/output_optimization-intro_70d214_51_0.svg

  • 本章节将简单学习目前深度学习领域比较常用的几种优化算法

1. 示例任务

  • NASA开发的测试机翼的数据集不同飞行器产生的噪声
    • 使用前1500样本,并将数据进行归一化处理
 1
 2
 3
 4
 5
 6
 7
 8
 9
10
11
12
13
14
15
16
17
18
%matplotlib inline
import numpy as np
import torch
from torch import nn
from d2l import torch as d2l

#@save
d2l.DATA_HUB['airfoil'] = (d2l.DATA_URL + 'airfoil_self_noise.dat',
                           '76e5be1548fd8222e5074cf0faae75edff8cf93f')

#@save
def get_data_ch11(batch_size=10, n=1500):
    data = np.genfromtxt(d2l.download('airfoil'),
                         dtype=np.float32, delimiter='\t')
    data = torch.from_numpy((data - data.mean(axis=0)) / data.std(axis=0))
    data_iter = d2l.load_array((data[:n, :-1], data[:n, -1]), #最后一列作为标签
                               batch_size, is_train=True)
    return data_iter, data.shape[1]-1
  • 定义一个通用的训练函数
 1
 2
 3
 4
 5
 6
 7
 8
 9
10
11
12
13
14
15
16
17
18
19
20
21
22
23
24
25
26
27
28
29
30
31
32
#@save
def train_concise_ch11(trainer_fn, hyperparams, data_iter, num_epochs=4):
    # 初始化模型:只有一个隐藏层的MLP
    net = nn.Sequential(nn.Linear(5, 1))
    def init_weights(m):
        if type(m) == nn.Linear:
            torch.nn.init.normal_(m.weight, std=0.01)
    net.apply(init_weights)

    #优化器
    optimizer = trainer_fn(net.parameters(), **hyperparams)
    #损失函数
    loss = nn.MSELoss(reduction='none')
    animator = d2l.Animator(xlabel='epoch', ylabel='loss',
                            xlim=[0, num_epochs], ylim=[0.22, 0.35])
    n, timer = 0, d2l.Timer()
    for _ in range(num_epochs): #每个epoch
        for X, y in data_iter:  #每个batch
            optimizer.zero_grad()
            out = net(X)
            y = y.reshape(out.shape)
            l = loss(out, y)
            l.mean().backward()
            optimizer.step()
            n += X.shape[0]
            if n % 200 == 0:
                timer.stop()
                # MSELoss计算平方误差时不带系数1/2
                animator.add(n/X.shape[0]/len(data_iter),
                             (d2l.evaluate_loss(net, data_iter, loss) / 2,))
                timer.start()
    print(f'loss: {animator.Y[0][-1]:.3f}, {timer.avg():.3f} sec/epoch')

2. SGD

image-20240820203200138

  • 梯度下降(Gradient Descent): 在每次迭代中,批量梯度下降会使用所有训练样本计算损失函数的梯度,然后根据这个梯度更新模型参数。
    • 计算代价高,因为每次迭代都需要遍历整个训练集。
  • 随机梯度下降(Stochastic Gradient Descent, SGD): 在每次迭代中,随机梯度下降只选取一个训练样本(或者随机选择一个样本)来计算损失函数的梯度,然后根据这个梯度更新模型参数。
    • 收敛过程可能会比较震荡,并且无法完全利用CPU/GPU硬件资源。
  • 小批量随机梯度下降(Mini-batch SGD): 在每次迭代中,小批量随机梯度下降从训练集中随机抽取一个小批量(batch)的样本集合来计算损失函数的梯度,然后根据这个梯度更新模型参数。
    • 为上述两种优化方式的折中方案,比批量梯度下降快,比随机梯度下降更稳定。
    • 可通过torch的torch.optim.SGD快速实现
1
2
3
4
5
data_iter, _ = get_data_ch11(10)
# 定义优化器
trainer = torch.optim.SGD
# 训练
train_concise_ch11(trainer, {'lr': 0.01}, data_iter)

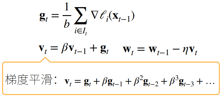
3. 动量法

  • 如下公式,gt表示在t时刻计算的损失函数梯度;vt则考虑了过去梯度的累加,称为动量(momentum)。
    • β值越大,则考虑了过去时刻的梯度越多
    • 常见的β取值包括0.5, 0.9, 0.95, 0.99
image-20240820204917387
  • 通常来说,动量法通过在参数更新时引入“动量”,使得梯度下降更稳定和快速。
  • 可以直接在torch.optim.SGD中添加momentum参数,设置动量法
1
2
3
4
5
# 定义优化器
trainer = torch.optim.SGD

# 训练
d2l.train_concise_ch11(trainer, {'lr': 0.005, 'momentum': 0.9}, data_iter)

SGD+动量法的优化效果对于某些任务不必Adam差。

4. 自适应学习率

4.1 AdaGrad

梯度下降方法使用固定的学习率,这意味着所有参数以相同的速度更新。自适应学习率方法为每个参数提供一个动态调整的学习率,这允许算法更加灵活地适应不同的参数需求。

  • **AdaGrad (Adaptive Gradient)**使用每个参数的历史梯度平方的累积和来调整学习率。
    • 在梯度较大的参数上采用较小的学习率,而在梯度较小的参数上采用较大的学习率。
  • 缺点在于,学习率随着训练时间的增加会变得非常小,导致训练提前停止。
  • 可通过torch的torch.optim.Adagrad快速实现。
1
2
3
4
5
# 定义优化器
trainer = torch.optim.Adagrad

# 训练
d2l.train_concise_ch11(trainer, {'lr': 0.1}, data_iter) #初始学习率

4.2 RMSprop

  • **RMSprop (Root Mean Square Propagation)**是 AdaGrad 的一个改进版本
  • 它通过使用指数加权平均数来平滑历史梯度的平方,解决了 AdaGrad 中学习率过早衰减的问题。
  • alpha参数用于设置平滑方式:
    • alpha 接近 1 时,算法更加重视过去的历史梯度信息;
    • alpha 接近 0 时,则更多地依赖于最近的梯度信息。
  • 可通过torch的torch.optim.RMSprop快速实现。
1
2
3
4
5
# 定义优化器
trainer = torch.optim.RMSprop

# 训练
d2l.train_concise_ch11(trainer, {'lr': 0.01, 'alpha': 0.9}, data_iter)

4.3 Adam

  • **Adam (Adaptive Moment Estimation)**是一种结合了动量法和 RMSprop 的优点的自适应学习率优化算法,是目前最常用的优化算法之一。
  • 它同时使用了一阶矩(动量)和二阶矩(梯度平方的指数加权平均)来更新参数。
  • 一阶矩用来平滑梯度(β1,通常取0.9);
  • 二阶矩(β2)用来平滑梯度的平方(β2,通常取0.999)。
  • 可通过torch的torch.optim.Adam快速实现。
1
2
3
4
5
# 定义优化器
trainer = torch.optim.Adam

# 训练
d2l.train_concise_ch11(trainer, {'lr': 0.01}, data_iter)

Yogi 是对 Adam 优化器的一种改进,旨在解决 Adam 可能遇到的一些问题,特别是当 Adam 在某些情况下过度估计梯度平方的均值时可能导致的性能下降。


5. 多GPU训练

5.1 并行化思路

  • (1)网络并行:将一个模型拆成多个部分,分别部署到不同的GPU中。
    • 尤其适用于大模型的训练,单个GPU的显存无法存储批量大小为1的全部模型参数;
    • 数据同步与传输有较大难度,不做推荐
  • (2)按层并行:将每一层的计算分给多个GPU
    • 同样需要大量的同步操作,不推荐
  • (3)数据并行:模型相同,训练样本不同。
    • 只要GPU的内存足够大,这种并行方式最方便。
image-20240823205742276
  • 对于具有两个GPU的数据并行训练过程为:
    1. 在任何一次训练迭代中,给定的随机的小批量样本都将被分成2个部分,并均匀地分配到GPU上;
    2. 每个GPU根据分配给它的小批量子集,计算模型参数的损失和梯度;
    3. 将2个GPU中的局部梯度聚合,以获得当前全部小批量的梯度;
    4. 聚合梯度被重新分发到每个GPU中;
    5. 每个GPU使用这个小批量随机梯度,来更新它所维护的完整的模型参数集
image-20240823232521945

TIP:当原本小批量为b的单GPU训练,增加到k个GPU时,此时总的小批量需要扩展到k×b,从而确保每个GPU训练的小批量还是b。

1
2
3
4
5
%matplotlib inline
import torch
from torch import nn
from torch.nn import functional as F
from d2l import torch as d2l

5.2 从零实现

(1)示例模型:简化的LeNet模型

 1
 2
 3
 4
 5
 6
 7
 8
 9
10
11
12
13
14
15
16
17
18
19
20
21
22
23
24
25
26
27
28
29
30
# 初始化模型参数
scale = 0.01
W1 = torch.randn(size=(20, 1, 3, 3)) * scale
b1 = torch.zeros(20)
W2 = torch.randn(size=(50, 20, 5, 5)) * scale
b2 = torch.zeros(50)
W3 = torch.randn(size=(800, 128)) * scale
b3 = torch.zeros(128)
W4 = torch.randn(size=(128, 10)) * scale
b4 = torch.zeros(10)
params = [W1, b1, W2, b2, W3, b3, W4, b4]

# 定义模型
def lenet(X, params):
    # 1个输入通道,20个输出通道
    h1_conv = F.conv2d(input=X, weight=params[0], bias=params[1])
    h1_activation = F.relu(h1_conv) # 激活层
    h1 = F.avg_pool2d(input=h1_activation, kernel_size=(2, 2), stride=(2, 2)) # 平均汇聚层
    # 20个输入通道,50个输出通道
    h2_conv = F.conv2d(input=h1, weight=params[2], bias=params[3])
    h2_activation = F.relu(h2_conv) # 激活层
    h2 = F.avg_pool2d(input=h2_activation, kernel_size=(2, 2), stride=(2, 2)) # 平均汇聚层
    h2 = h2.reshape(h2.shape[0], -1)
    h3_linear = torch.mm(h2, params[4]) + params[5] #全连接层
    h3 = F.relu(h3_linear)
    y_hat = torch.mm(h3, params[6]) + params[7]
    return y_hat

# 交叉熵损失函数
loss = nn.CrossEntropyLoss(reduction='none')

(2)定义两个数据同步函数

  • 函数1:将模型参数复制到指定的GPU中
 1
 2
 3
 4
 5
 6
 7
 8
 9
10
11
12
13
def get_params(params, device):
    new_params = [p.to(device) for p in params]
    for p in new_params:
        p.requires_grad_()
    return new_params

# 示例
new_params = get_params(params, d2l.try_gpu(0))
print('b1 权重:', new_params[1])
# b1 权重: tensor([0., 0., 0., 0., 0., 0., 0., 0., 0., 0., 0., 0., 0., 0., 0., 0., 0., 0., 0., 0.],
#        		  device='cuda:0', requires_grad=True)
print('b1 梯度:', new_params[1].grad) #初始梯度为None
# b1 梯度: None
  • 函数2:将所有GPU计算的梯度结果汇总(cuda:0)后,再返回给每个GPU
 1
 2
 3
 4
 5
 6
 7
 8
 9
10
11
12
13
14
15
16
17
18
def allreduce(data):
    for i in range(1, len(data)):
        data[0][:] += data[i].to(data[0].device)
    for i in range(1, len(data)):
        data[i][:] = data[0].to(data[i].device)
        
# 示例
data = [torch.ones((1, 2), device=d2l.try_gpu(i)) * (i + 1) for i in range(2)]
print('allreduce之前:\n', data[0], '\n', data[1])
# allreduce之前:
#  tensor([[1., 1.]], device='cuda:0') 
#  tensor([[2., 2.]], device='cuda:1')

allreduce(data)
print('allreduce之后:\n', data[0], '\n', data[1])
# allreduce之后:
#  tensor([[3., 3.]], device='cuda:0') 
#  tensor([[3., 3.]], device='cuda:1')

(3)将总的小批量数据分给各个GPU

  • 这里为了方便,利用了torch提供的nn.parallel.scatter()
 1
 2
 3
 4
 5
 6
 7
 8
 9
10
11
12
13
14
15
16
17
18
19
20
21
22
23
data = torch.arange(12).reshape(4, 3)
devices = [torch.device('cuda:0'), torch.device('cuda:1')]
print('input :', data)
# input : tensor([[ 0,  1,  2],
#                 [ 3,  4,  5],
#                 [ 6,  7,  8],
#                 [ 9, 10, 11]])
print('load into', devices)
# load into [device(type='cuda', index=0), device(type='cuda', index=1)]

split = nn.parallel.scatter(data, devices) #按行平均分给多个GPU
print('output:', split)
# output: (tensor([[0, 1, 2],
#                  [3, 4, 5]], device='cuda:0'), 
#         tensor([[ 6,  7,  8],
#                 [ 9, 10, 11]], device='cuda:1'))

#@save
def split_batch(X, y, devices):
    """将X和y拆分到多个设备上"""
    assert X.shape[0] == y.shape[0]
    return (nn.parallel.scatter(X, devices),
            nn.parallel.scatter(y, devices))

(4)小批量训练函数

  • 根据如下代码,多个GPU看上去好像是顺序执行的。
  • 其实是因为计算图在小批量内的设备之间没有任何依赖关系,因此它是“自动地”并行执行
 1
 2
 3
 4
 5
 6
 7
 8
 9
10
11
12
13
14
15
16
def train_batch(X, y, device_params, devices, lr):
    X_shards, y_shards = split_batch(X, y, devices)
    # 在每个GPU上分别计算损失
    ls = [loss(lenet(X_shard, device_W), y_shard).sum()
          for X_shard, y_shard, device_W in zip(
              X_shards, y_shards, device_params)]
    for l in ls:  # 反向传播,计算每个GPU的当前梯度
        l.backward()
    # 将每个GPU的所有梯度相加,并将其广播到所有GPU
    with torch.no_grad():
        for i in range(len(device_params[0])): # device_params为list,为每个GPU的模型参数
            allreduce(
                [device_params[c][i].grad for c in range(len(devices))])
    # 在每个GPU上分别更新模型参数
    for param in device_params:
        d2l.sgd(param, lr, X.shape[0]) # 在这里,我们使用全尺寸的小批量

(5)定义最终的训练函数

  • test精度计算只根据其中一个GPU的模型(所有GPU的模型参数都是同步的,所以影响不大)
 1
 2
 3
 4
 5
 6
 7
 8
 9
10
11
12
13
14
15
16
17
18
19
20
def train(num_gpus, batch_size, lr):
    train_iter, test_iter = d2l.load_data_fashion_mnist(batch_size)
    devices = [d2l.try_gpu(i) for i in range(num_gpus)]
    # 将模型参数复制到num_gpus个GPU
    device_params = [get_params(params, d) for d in devices]
    num_epochs = 10
    animator = d2l.Animator('epoch', 'test acc', xlim=[1, num_epochs])
    timer = d2l.Timer()
    for epoch in range(num_epochs):
        timer.start()
        for X, y in train_iter:
            # 为单个小批量执行多GPU训练
            train_batch(X, y, device_params, devices, lr)
            torch.cuda.synchronize() # 确保当前指定GPU已经训练完成
        timer.stop()
        # 在GPU0上评估模型
        animator.add(epoch + 1, (d2l.evaluate_accuracy_gpu(
            lambda x: lenet(x, device_params[0]), test_iter, devices[0]),))
    print(f'测试精度:{animator.Y[0][-1]:.2f}{timer.avg():.1f}秒/轮,'
          f'在{str(devices)}')

(6)比较

  • 如下,我们发现使用1个GPU与2个GPU的训练时间并没有差别;
  • 主要原因是由于模型太小了,并且数据集也很小。
1
2
3
4
5
train(num_gpus=1, batch_size=256, lr=0.2)
# 测试精度:0.76,4.9秒/轮,在[device(type='cuda', index=0)]

train(num_gpus=2, batch_size=256, lr=0.2)
# 测试精度:0.83,5.0秒/轮,在[device(type='cuda', index=0), device(type='cuda', index=1)]

5.3 简洁实现

(1)示例模型:Resnet18

 1
 2
 3
 4
 5
 6
 7
 8
 9
10
11
12
13
14
15
16
17
18
19
20
21
22
23
24
25
26
27
28
29
30
31
32
33
34
35
36
37
38
39
40
41
42
43
44
45
#@save
def resnet18(num_classes, in_channels=1):
    """稍加修改的ResNet-18模型"""
    def resnet_block(in_channels, out_channels, num_residuals,
                     first_block=False):
        blk = []
        for i in range(num_residuals):
            if i == 0 and not first_block:
                blk.append(d2l.Residual(in_channels, out_channels,
                                        use_1x1conv=True, strides=2))
            else:
                blk.append(d2l.Residual(out_channels, out_channels))
        return nn.Sequential(*blk)

    # 该模型使用了更小的卷积核、步长和填充,而且删除了最大汇聚层
    net = nn.Sequential(
        nn.Conv2d(in_channels, 64, kernel_size=3, stride=1, padding=1),
        nn.BatchNorm2d(64),
        nn.ReLU())
    net.add_module("resnet_block1", resnet_block(
        64, 64, 2, first_block=True))
    net.add_module("resnet_block2", resnet_block(64, 128, 2))
    net.add_module("resnet_block3", resnet_block(128, 256, 2))
    net.add_module("resnet_block4", resnet_block(256, 512, 2))
    net.add_module("resnet_block5", resnet_block(512, 1024, 2))
    net.add_module("resnet_block6", resnet_block(1024, 1024, 2))
    # net.add_module("resnet_block7", resnet_block(1024, 1024, 2))
    # net.add_module("resnet_block8", resnet_block(1024, 1024, 2))
    net.add_module("global_avg_pool", nn.AdaptiveAvgPool2d((1,1)))
    net.add_module("fc", nn.Sequential(nn.Flatten(),
                                       nn.Linear(1024, num_classes)))
    return net


# 实例化模型
net = resnet18(10)

# 获取所有的GPU列表
devices = d2l.try_all_gpus()
devices
# [device(type='cuda', index=0),
#  device(type='cuda', index=1),
#  device(type='cuda', index=2)]

# 我们将在训练代码实现中初始化网络

(2)定义训练函数

 1
 2
 3
 4
 5
 6
 7
 8
 9
10
11
12
13
14
15
16
17
18
19
20
21
22
23
24
25
26
27
def train(net, num_gpus, batch_size, lr):
    train_iter, test_iter = d2l.load_data_fashion_mnist(batch_size)
    # 定义所使用的多个GPU
    devices = [d2l.try_gpu(i) for i in range(num_gpus)]
    def init_weights(m):
        if type(m) in [nn.Linear, nn.Conv2d]:
            nn.init.normal_(m.weight, std=0.01)
    net.apply(init_weights)
    # 在多个GPU上设置模型
    net = nn.DataParallel(net, device_ids=devices)
    trainer = torch.optim.SGD(net.parameters(), lr) #优化器
    loss = nn.CrossEntropyLoss() #损失函数
    timer, num_epochs = d2l.Timer(), 10
    animator = d2l.Animator('epoch', 'test acc', xlim=[1, num_epochs])
    for epoch in range(num_epochs):
        net.train()
        timer.start()
        for X, y in train_iter:
            trainer.zero_grad()
            X, y = X.to(devices[0]), y.to(devices[0]) # 先把批量样本数据都暂时放到cuda:0中
            l = loss(net(X), y) #模型会自动将样本分发给多个GPU
            l.backward()
            trainer.step()
        timer.stop()
        animator.add(epoch + 1, (d2l.evaluate_accuracy_gpu(net, test_iter),))
    print(f'测试精度:{animator.Y[0][-1]:.2f}{timer.avg():.1f}秒/轮,'
          f'在{str(devices)}')

(3)比较

  • 发现在批量数较大时,才能发挥并行计算的优势
 1
 2
 3
 4
 5
 6
 7
 8
 9
10
11
12
13
14
15
16
17
18
19
20
21
22
23
24
25
26
## Batch size = 256
train(net, num_gpus=1,batch_size=256,lr=0.1)
# 测试精度:0.90,7.9秒/轮,在[device(type='cuda', index=0)]

train(net, num_gpus=2,batch_size=512,lr=0.2)
# 测试精度:0.75,13.8秒/轮,在[device(type='cuda', index=0), device(type='cuda', index=1)]


## Batch size = 512
train(net, num_gpus=1,batch_size=512,lr=0.1)
# 测试精度:0.87,7.6秒/轮,在[device(type='cuda', index=0)]

train(net, num_gpus=2,batch_size=1024,lr=0.2)
# 测试精度:0.90,8.6秒/轮,在[device(type='cuda', index=0), device(type='cuda', index=1)]


## Batch size = 1024
train(net, num_gpus=1,batch_size=1024,lr=0.1)
# 测试精度:0.69,7.7秒/轮,在[device(type='cuda', index=0)]

train(net, num_gpus=2,batch_size=1024*2,lr=0.1*2)
# 测试精度:0.79,6.4秒/轮,在[device(type='cuda', index=0), device(type='cuda', index=1)]


train(net, num_gpus=3,batch_size=1024*3,lr=0.1*3)
# 测试精度:0.79,5.4秒/轮,在[device(type='cuda', index=0), device(type='cuda', index=1), device(type='cuda', index=2)]

TIP:当训练的批量大小增大时,学习率也要相应的增加。